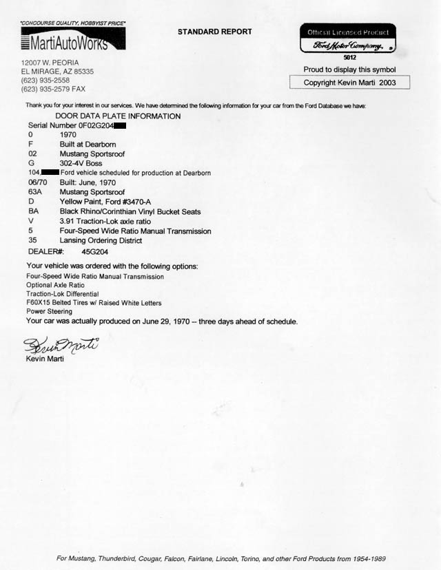
1970 Ford Mustang
Boss 302 VIN# 0F02G204xxx

 

Marti Report: